ACCUEIL
OUTILS
CONTACT
DATAMINING
SEGMENTATION
TYPOLOGIE
SWOT
ETUDES FIELD
INSTITUT
OUTILS
TAILLE ECHANTILLON
MARGE D'ERREUR
REPRESENTATIVITE ECHANTILLON
ANALYSE DE RESEAU (SNA)
IA DONNEES MANQUANTES
KHI DEUX
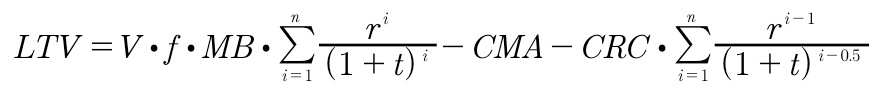
LTV
Vous n'avez
pas toujours les réponses...?
Nous saurons poser
les bonnes questions
Calcul de la lifetime value
The fields with the red border are required.
Entrez les valeurs dans les cases jaunes
Variable
Valeur
Coûts variables annuels par contact
Coût unitaire pour identifier / acquérir un nouveau prospect (ex. achat d'adresses, consulting …)
(V) Montant moyen par achat par client
(f) Nombre moyen d'achats par année
(t) taux d'escompte appliqué (%)
Lifetime value par client
(MBG ) Bénéfice global annuel
Calcul lifetime value - Evolution sur 5 ans
Année 1
Année 2
Année 3
Année 4
Année 5
Chiffre d'affaires par client / donateur
Revenus annuels totaux
Coûts totaux
Taux d'escompte
Bénéfice net annuel
Bénéfice cumulé
Lifetime value par client
The browser does not support JavaScript. The calculations created using
SpreadsheetConverter
will not work. Please access the web page using another browser.