OUTILSTAILLE ECHANTILLONMARGE D'ERREURREPRESENTATIVITE ECHANTILLONANALYSE DE RESEAU (SNA)IA DONNEES MANQUANTESKHI DEUXLTV 
Formule calcul lifetime valueFormule calcul lifetime valueLifetime value - Exemple de calculLifetime value modele pour le calculRepartition lifetime value selon segmentation RFM

Vous pensez qu'il est temps d'arrêter de s'occuper du cycle de vie des produits pour s'occuper du

cycle de vie des clients

?

 

Vous vous posez des questions telles que celles-ci

 

    

►

que

deviennent

mes clients ?

    

►

combien

devrai-je

investir

pour

       

acquérir un

nouveau client ?

    

►

qui sont mes

meilleurs

clients ?

    

►

quelle

rentabilité

apportent mes clients 

 

En fait, vous souhaitez

 

    

►

identifier vos clients les plus

rentables

    

►

disposer d'un indicateur fiable du

       

potentiel

de chacun

 

La

lifetime value

(LTV)

fait partie de la panoplie d'outils capables de vous fournir une

réponse concrète.

 

Définition de Lifetime Value (LTV)

 

La lifetime value correspond à la

valeur actualisée

estimée de chacun de vos clients, selon

 

    

►

son

comportement

    

►

ses

habitudes d’achat

 

mesurés sur une longue période ("sa durée de vie").

 

Elle est calculée à partir de la

durée moyenne

de la relation avec le client ("durée de vie") et de l’évolution théorique de ses achats.

 

La lifetime value permet d'identifier des

clients encore peu rentables

, mais qui ont le potentiel de devenir rentables.

 

La lifetime value aide à définir et à prioriser les meilleures stratégies de maximisation de la valeur.

 

Calculer la Lifetime Value (LTV)

 

Vous pouvez effectuer un calcul simple, en vous servant de l

'

outil mis à votre disposition ici.

 

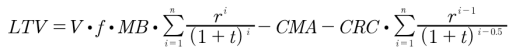
La

LTV

est le

résultat

 

    

►

de la

valeur actualisée nette

d'un

       

client à travers toute la durée de sa

       

relation avec votre entreprise

 

       moins

 

    

►

le

coût initial

d'acquisition de clients

    

►

et la valeur actuelle de

tous les coûts

       

engagés pour conserver ces clients

 

Calculer la Lifetime Value (LTV) pour un client

 


Calculer la Lifetime Value (LTV) pour une campagne

La lifetime value pour identifier vos clients rentables

ACCUEILOUTILSDATAMININGSEGMENTATIONTYPOLOGIESWOTETUDES FIELDINSTITUT 
Marketing Intelligence & Etudes de marché

Marketing Intelligence &

Études de marché

Vous n'avez pas toujours les réponses...?
Nous saurons poser les bonnes questions
Bouton_WhatsApp_Joaquin_Fernandez
ENVOYER VOTRE BRIEF
Liste de cookies utilisés dans ce site
Joaquin Fernandez
Politique de cookies (UE)
Déclaration de confidentialité (UE)
Impressum
Avertissement
Conditions générales
Avenue Krieg 32
1208 Genève
Suisse
Téléphone: +41 (0)22 301 87 10
Natel : +41 (0)76 376 96 58
 


Contactez-nous par mail
Joaquin Fernandez
INFORMATIONS LEGALES